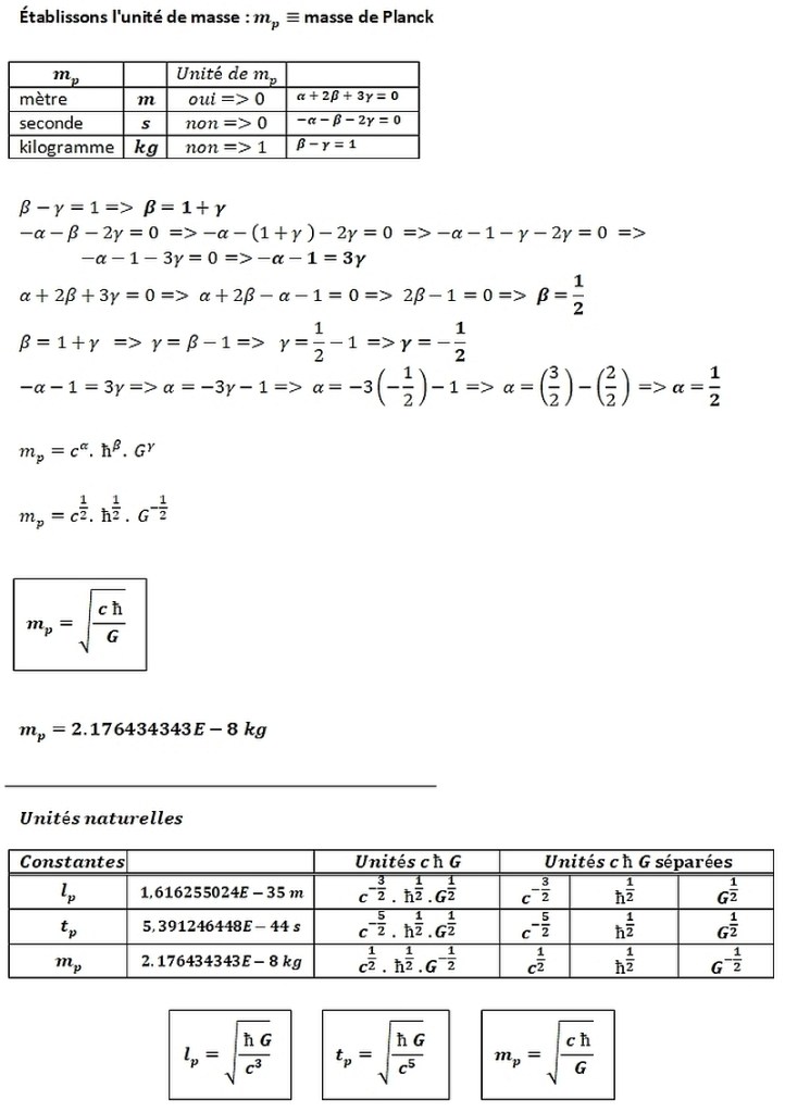
Analyse dimensionnelle
Procédure basée sur la vidéo de Brian Greene
1. Your Daily Equation #15: The Planck Length – Why String Theory is Hard to Test (27:17)

Obtenir le pdf



Procédure basée sur la vidéo de Brian Greene
1. Your Daily Equation #15: The Planck Length – Why String Theory is Hard to Test (27:17)

Obtenir le pdf


